我們全新的對比度優化技術能夠在目標的空間頻率下對系統 MTF 進行可靠和有效的優化。該方法借由最小化目標空間頻率下的每對採樣光線的相位差,來實現最大化 MTF。通過使用高斯求積法來確定採樣的光線圖案,可以進一步強化計算效率。以下範例將說明該技術的優點。
在大多數情況下,目標空間頻率的 MTF 被看作成像光學系統的性能規格。該性能規格在使用數位化探測器的光學系統中變得特別重要,在這樣的光學系統中,不需要超過特定值的空間頻率的性能,而需要在中頻範圍內表現出優異的性能。
但是,直接在 MTF 上進行優化是很困難的。MTF 計算需要大量的計算能力。由於 MTF 在設計的初始階段經常波動很大,因此其他優化方法是必要的,直到光學系統足夠接近最終形式。
但是,直接在 MTF 上進行優化是很困難的。MTF 計算需要大量的計算能力。由於 MTF 在設計的初始階段經常波動很大,因此其他優化方法是必要的,直到光學系統足夠接近最終形式。
我們全新的對比度優化極大程度上解決了這些問題。我們測量出瞳上兩點之間的相位差,而非計算完整的 MTF,這兩點之間的距離應該是與 MTF 中的目標空間頻率相對應的值。使用此相位差值,構建評價函數,該函數在 MTF 變為最大時會成為最小值,我們將其用於優化。與直接優化 MTF 值相比,此方法更快,並且表現更好。
對比度優化預設評價函數
在 OpticStudio 中,您現在可以使用新的預設評價函數來使用上述方法優化 MTF。在優化嚮導中,選擇“對比度優化”並設置目標空間頻率,弧矢 MTF 值與子午面的權重。嚮導會創建評價函數,該函數由運算元 MECS 和 MECT 組成,這兩個運算元需要同時使用。MECS 追跡三條光線:原光線,在光瞳中沿弧矢(S)方向移動距離 d 的光線,和子午面(T)方向移動距離 d 的光線。MECS 得出弧矢光的光程差,MECT 得出子午光的光程差。
可以使用簡單的網格或使用高斯求積來取樣光線,使用高斯求積,你可以用最少數量的光線有效地採樣光瞳。
此優化嘗試將 MECS 和 MECT 運算元中的所有波前差都優化至零。這使得對應於光瞳偏移 d 的空間頻率下的 MTF 最大化。
相較于傳統 MTF 優化,該評價函數包含更多資訊。傳統的 MTF 優化只包含兩個運算元:弧矢方向的 MTF 值和子午方向的 MTF 值。由於優化會改變光學系統的值,過程中 MTF 值可能上升或下降,但優化程式無法瞭解這些值上升或下降的原因,以及光瞳的哪些部分存在問題。在對比度優化中,優化程式可以獲得更多資訊,從而能夠“看出”光瞳的哪些部分主要導致 MTF 出現問題。
.jpg)
.jpg)
OpticStudio 中的評價函數編輯器
對比度損失圖
此優化方法可以採用視覺化的方法便於理解。我們在 OpticStudio 中新增了對比度損失圖,讓用戶能夠準確查看光瞳中哪些區域造成 MTF 的損失最大。
較大的圓圈表示導致光瞳中 MTF 損失的區域。每個圓圈的大小表徵為
½ {1 – cos[q(x) – q(x-d) ]},
其中
[q(x) – q(x-d) ]
是位移後和未位移光線之間的相位差。當相位差為零時,圓的大小為零。當相位差為 90° 時,圓的大小為 ½,當相位差為 180° 時,圓的大小為 1。
每個圓圈內的指針代表平均相位:[q(x) – q(x-d) ]/2,故可以在圖中看出波前分佈。
.jpg)
OpticStudio 中的對比度損失圖
.png)
雙高斯設計
雙高斯範例
雙高斯設計的優化顯示,對比度優化的計算速度與波前優化相當,並且比直接優化 MTF 更可靠。
我們從標準的雙高斯設計開始。該設計從由多個平板組成的光學系統開始,並設置最後一個表面為曲率半徑求解以確保系統為 F/3 系統。將波長設置為可見光,入瞳直徑為 33.3 mm。
將剩餘表面的曲率半徑以及間距設置為變數,採用最小阻尼二乘法優化。在此優化中有三種方法可供使用:使用 RMS 波前差作為標準,對比度優化和直接優化 MTF。這些優化方法所需的時間如下表所示。對比度優化與 RMS 波前差優化幾乎同時完成。
|
|
採樣:
3 rings x 6 arms
|
採樣:
6 rings x 6 arms
|
採樣:
9 rings x 6 arms
|
|
對比度優化(20 cycles/mm)
|
4.6 sec
|
5.8 sec
|
9.8 sec
|
|
RMS 波前優化
|
5.5 sec
|
5.1 sec
|
9.4 sec
|
|
直接優化 MTF(20 cycles/mm)
|
(failed)
|
(failed)
|
144.6 sec*
|
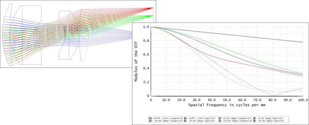
由於初始光學系統的性能表現不佳,無法直接優化 MTF。在嘗試直接優化 MTF 之前,需要先優化 RMS 光斑大小。對比度優化和 RMS 波前優化得到的結果相似。其中之一優化後的系統以及相對應的 MTF 曲線如下圖所示。
.jpg)
單透鏡形狀因數範例
優化單透鏡形狀因數確認對比度優化功能與 MTF 優化具有相同的最小值。從該資料可以看出,對比度優化具有比其他優化方法更平滑的參數空間,並且以更加直接的方式獲得最佳結果。
我們使用波長為 500 nm,光束直徑為 10 mm 的 F/10 單透鏡,並且只考慮軸上視場點。該光學系統的變數是透鏡的形狀因數和到像面的距離。我們希望將形狀因數優化到接近0.7。
.jpg)
由於系統中的球差,MTF 表現不佳。對於大於 15 cycles/mm 的空間頻率,MTF 處於虛假解析度區域。在該區域中,即使通過優化獲得較高的 MTF,實際上也不會改善光學性能。
.png)
在上圖中,右側的垂直軸表示對比度優化的評價函數的值,左側垂直軸表示作為單透鏡形狀因數函數的衍射極限處的 MTF 值和 MTF 值之間的差值。
在 10 cycles/mm 和 25 cycles/mm 處,評價函數的值在與 MTF 值相同位置具有最小值。
評價函數的值顯示類似於二次函數的形狀,優化的參數空間更平滑,並且有更明確的最小值。另一方面,MTF 的值在球形焦散的範圍內幾乎是平坦的。RMS 光斑大小和 RMS 波前差在該焦散的範圍內也是平坦的。這種表現並非不可預料,因為對比度優化評價函數的值與波前的導數密切相關。
同樣在 25 cycles/mm 處,MTF 值沒有完全降低,這將為最小阻尼二乘法優化帶來問題。上述結果表明,對比度優化在優化過程中能夠更加快速獲得理想結果。
另外注意,在上圖中,對比度優化功能的評價函數不會給出 MTF 的值。在執行對比度優化後,可能需要直接計算 MTF 以獲得優化後的 MTF 值。這可以通過宏輕鬆實現,並不會減慢優化的速度。
結論
對比度優化能夠在特定空間頻率處快速且可靠的優化MTF。評價函數值在 MTF 最大的位置最小。評價函數值傾向于有明確定義的最小值的平滑形狀,這有助於快速優化至最佳結果。該方法在波前斜率較低的情況下可作為一種更為通用的優化方法。
業務聯絡:ansys_sales@cybernet-ap.com.tw