對比度損失圖是 OpticStudio 中的一個功能,旨在便於使用者理解光學系統中對比度的變化或損失。它將特定頻率的調製傳遞函數(MTF)的對比度損失在光瞳上以作圖形式視覺化。
對比度損失圖提供了 MTF 在光瞳上損失的資訊。你可以以此資料作為參照來提升系統的 MTF。對比度損失圖把在對比度優化過程中運用到的對比度損失計算以作圖形式呈現。對比度優化是 OpticStudio 17 中新加入的功能,該功能採用Moore-Elliott 理論,相較于傳統演算法,MTF 優化速度提升30 倍。
內容包括以下主題:
-
MTF:光瞳函數的自相關計算
-
相位差與對比度損失
-
對比度損失視覺化
-
示例說明
-
剪切干涉圖
MTF:光瞳函數的自相關計算
如何利用光瞳函數的自相關來計算 MTF 的理論有助於解釋對比度損失。本文說明將不涉及數學推導。
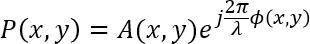
對於特定的視場和波長的光學系統,對光線進行追跡,光線從物面發出,追跡到像面,再從像面追跡到出瞳,就可以得到光瞳函數。光瞳函數可被表示為:
其中 A(x,y) 代表振幅,λ 代表波長,φ(x, y) 代表在出瞳處光線與主光線的光程差。
相位 φ(x, y) 被稱作波前。在 OpticStudio 中可查看波前,點擊分析 > 波前圖 > 波前圖。
.jpg)
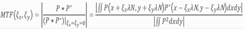
對於特定的視場和波長,可以通過對在 ξx=ξy=0 處歸一化的光瞳函數 P(x,y) 進行自相關計算之後取模來計算 MTF,ξx 和 ξy 分別是在 x 和 y 方向上的空間頻率。也就是說,MTF 可被表徵為空間頻率的函數:
.jpg)
其中 P* 是 P 的複共軛,λ 是波長,N是 F 數,也可寫作 F/#。
因為 MTF 是一個二維頻域分佈,你可以基於特定頻率 ξt 計算 MTF。將光瞳函數在 x 或 y 方向上平移 2ξtλN,計算其複共軛函數,並與未做平移的光瞳函數相乘,兩者相乘之後,在相交區域內進行積分,之後將積分結果取模。平移量2ξtλN 可被簡化為:
.jpg)
其中 ξc 為截止頻率
.jpg)
下圖為光瞳函數 P 在 x 方向上平移了 δ。
.jpg)
由 δ 運算式可得,當 ξt = ξc 時,δ = 2。此時光瞳平移量與歸一化光瞳直徑相等,也就是說 P 和 P* 的邊緣重合,但是兩者不存在相交區域,MTF 等於零。
在為優化函數運算元 MTFT,MTFS 以及 MTFA 定義 ‘Grid = 0’ 時,也會使用自相關計算的方法來計算 MTF 值。想要瞭解更多關於 MTF 的內容,請參考文章 如何優化 MTF 以及 在波前計算中 OpticStudio 如何進行採樣?。
相位差與對比度損失
既然 MTF 是由光瞳函數的自相關計算所得,那麼光瞳函數 P 與平移後的光瞳函數 P* 的相交區域中的兩點相乘應該等價于在原光瞳函數 P 中間隔為 δ 的兩點相乘。
.jpg)
當一個複數 A1 與另一個複數的共軛 A2 相乘時,它的大小與相位差的余弦成正比:
因此,為了讓特定頻率下的 MTF 值最大化,基於同一視場,在光瞳函數上間隔為 δ 的任意兩條光線的相位差 (φ1 - φ2) 應該為零或者是 2π 的倍數。基於此,在使用對比度優化對光學系統進行優化時,OpticStudio 會儘量縮小每對採樣光線的相位差。想要瞭解更多關於對比度優化的內容,請參考文章使用對比度優化對 MTF 進行優化。
儘管在優化 MTF 時已經將相位差最小化,但是產生對比度的其實是相位差的余弦。Moore-Elliott 方法採用相位差的余弦值來計算光瞳上每個採樣點的對比度損失,表徵為:
對比度損失 = 0.5 (1 – cos[φ1 - φ2])
其中 φ1 和 φ2 是同一視場中兩條光線的相位。在計算弧矢面對比度損失時,兩條光線在 Px 方向間隔為 δ。在計算子午面對比度損失時,兩條光線在 Py 方向間隔為 δ。
對比度損失視覺化
對比度損失圖將相位差和對比度損失以作圖形式視覺化,可用於分析和優化光學系統。如下圖所示,對比度損失圖通過使用圓圈和指針分別展示了光瞳上的每個採樣點的對比度損失和波前資訊。對比度損失圖可以在分析功能表中的“MTF曲線”下拉式功能表中找到。
.jpg)
每個圓圈的大小代表了光瞳上該位置的對比度損失的量。當對比度損失為 1 時,圓圈最大,當對比度損失為 0 時,圓圈最小。
指針的位置代表了波前差的大小。對於光瞳上的每個點,計算光瞳函數移動前和移動後的平均光程差(OPD),並對 2π 取模。該值決定了指標的方向,如下圖所示。當 OPD 為零時,指標指向正 X 軸方向,並隨著 OPD 平均值的增大延逆時針方向旋轉。
.jpg)
示例說明
對比度損失圖表明在光瞳座標下,基於特定視場以及波長的光束,若對比度小於1,則 MTF 小於衍射極限 MTF。
如下圖所示,以基於5度視場的雙膠合透鏡為例,採用對比度優化方法,對 20 cycles/mm 的 MTF 優化,從而優化雙膠合透鏡曲率半徑。
.jpg)
.jpg)
下圖所示為 MTF 以及對比度損失圖(20 cycles/mm)。
.jpg)
為了提升子午方向的 MTF,我們可以將雙膠合透鏡的第一個面變為非球面,然後通過加入一個單一的非球面係數作為變數來優化這個新系統。下圖顯示了在優化過程中使用不同階係數時得到的 MTF。黑色曲線為衍射極限 MTF。
.jpg)
結果表明,MTF 在每種情況下都只是略有改進。為了理解這是為什麼,你可以分析每個優化後表面的矢高。在本例 中,使用單一係數優化僅僅會顯著改變透鏡邊緣附近的表面矢高。如下圖所示,12階非球面係數對非球面邊緣處的矢高影響最大,同時能夠獲得最大的 MTF 值。
.jpg)
如下圖所示,對比對 12 階非球面係數優化前後的對比度損失圖,可以清楚地看出,光瞳邊緣處的對比度損失被消除了,從而讓 MTF 有了小幅提升。然而,表面邊緣的變化對子午向的對比度損失圖並沒有非常顯著的影響。
.jpg)
因此,鑒於僅靠一個係數並不足以控制孔徑中心到邊緣處的表面形狀,你可以假設為了消除子午面對比度損失圖中顯示的“凸起”,你至少需要優化兩個非球面係數。如下圖所示,當同時優化不同係數組合時,MTF 都得到了顯著提高。
.jpg)
此外,當使用 4 階和 6 階係數進行優化,優化後的對比度損失圖中,可以看出對比度損失得到了全面改善,“凸起” 變小了。
.jpg)
當查看 4 階和 6 階非球面係數對矢高的影響時,你會注意到矢高的變化主要在孔徑中心到邊緣的區域。這與優化前的子午向對比度損失圖中的“凸起”位置相似,如下圖所示。
.jpg)
該示例演示了如何使用 OpticStudio 中的對比度損失圖功能來找出什麼樣的表面形狀或是表面形狀的改變能夠有助於優化特定空間頻率的 MTF。
剪切干涉圖
由於對比度損失是基於相位差的余弦值,當採用高採樣時,對比度損失圖能夠模擬剪切干涉圖。剪切干涉儀將測試光線一分為二,並將產生的光束以相同的方向傳播,但是兩個波面彼此橫向錯開。下圖展示了兩個示意圖。左邊的示意圖為使用平板玻璃分裂測試光束;右邊的示意圖為使用衍射光柵分裂測試光束。剪切干涉圖就是在探測器上兩束光的干涉圖樣。
.jpg)
由於對比度損失圖在計算過程中使用了光瞳函數的偏移量,所以可以將其結果與真實的剪切干涉圖測量聯繫起來。例如,在以下系統中,波前圖顯示有明顯的球差。同一系統的對比度損失圖顯示為典型的包含球差的剪切干涉圖。
.jpg)
同樣的情況也適用於以下顯示慧差的波前圖,這張對比度損失圖顯示的正是一種包含慧差的剪切干涉圖。
.jpg)
總結
對比度損失圖提供了一種簡單的方法來理解對比度是如何在光學系統中變化或是損失的。它採用與 Moore-Elliot 方法進行對比度優化時使用的相同計算方法,將出瞳處特定頻率 MTF 的對比度損失視覺化。如上所述,對比度損失圖可以用來推斷改進系統性能所需要的變化。由於對比度損失圖使用了光瞳函數平移前後的相位差,它也可以用來模擬剪切干涉圖並識別光學系統中的特定像差。
業務聯絡:ansys_sales@cybernet-ap.com.tw